Please enable JavaScript.
Coggle requires JavaScript to display documents.
Map of Mechanics (Physics) (Kinematics (Kinematic Formulas (dropped image…
Map of Mechanics (Physics)
Kinematics
Kinematic Formulas
acceleration
velocity
initial velocity + definite integral of acceleration over the interval
distance
initial distance + definite integral of velocity over the interval
instantaneous
is the limit as time -> 0
average
is the change in acceleration/velocity/distance over the change in time.
Projectile Motion
Projectile Motion Equations
[on paper]
Coordinates
Velocities
Accelerations
ax = const, 0
ay = g
Forces
Friction
Kinetic
Static
Rolling
Fluid Resistance
For slow Speeds in a fluid, the friction on the object is
at higher speeds, the friction becomes proportional to the square of velocity, so the friction becomes
Terminal Speeds
For slow moving objects, the terminal speed is (when Fg = fluid resistance; when mg = kv)
For quicker objects, mg = Dv^2
Newtons Laws
net force = 0; acceleration = 0
Fa on b = -Fb on a
net force = mass x acceleration
Springs
Fx = -Kx
the restoration force, has the neg because its opposite its direction of pull, the applied force.
normal
tension
gravitational
Work/Energy
Work
W = Scalar product: F * s
W = Fs (force x displacement)
W = Fscos(theta)
Negative Work
ex: pushing against the direction of motion for a moving object
Variable Work
Integral of the Force function over a definite distance
Power
P = W/t
P = dot product: F*v (force times dot product velocity)
Energy
Kinetic
K = 1/2mv^2
Potential
on paper
Conservation of Energy
on paper
Work - Energy Theorem:
Wtot = K2 - K1 = deltaK
Momentum
Collisions
collision classes
Some elasticity
Some kinetic energy lost
momentum is conserved
the same is true for y values
NOTE: the momentum is conserved only in the components of the vectors, since momentum in non-scalar, you can have two bodies seemingly gain momentum in the y-direction, but its actually just the conservation of momentum working properly.
Completely Inelastic
Bodies will have the same final velocity
Completely Elastic
kinetic energy is conserved
conservation of kinetic energy in elastic collision:
NOTE: the kinetic energy is not a vector! so the x/y components are not conserved, the overall energies of the intial movement and the final movement is conserved!
momentum is conserved
Lost Energy in Collisions:
Lost kinetic energy = initial KE - final KE
KE = 1/2m(p/m)^2
since momentum/mass = speed
Impulse
J = Net force x change in time
J = change in momentum
J = definite integral of net force over time
usually very short times, in milliseconds, with massive net force.
p=mv - p and v are vectors
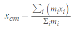
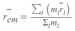
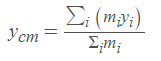
Center of Mass
the center of mass for a collection of masses is the sum of the bodies respective position times mass, over the sum of the masses
CM is the mass-weighted position of particles
a spinning object, like a tennis racket, will spin around its CM, with the CM following the projectile trajectory
when an object breaks apart in a projectile motion system, the cm will follow the original course, but the split objects will diverge
Total mass x velocity of center of mass = total momentum
#
net
external
force = total mass x acceleration of cm
#
Rotational Dynamics
Circular Forces
Centripetal Force
just the apparent force you feel, there isn't actually a force, just inertia of the rotation redirecting your velocity under the radial acceleration.
Centrifugal (false/fake/non-existant)
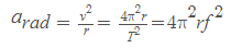
Ciruclar Accelerations
tangential acceleration
radial acceleration
rotating bodies / tangential x, v, and a
Rotational dynamics equations (basically the kinematics but rotating with angles
energy
kinetic
KE = 1/2 x I x w^2 (half times moment of inertia at pivot point times angular velocity squared)
Ip = Icm + md^2
inertia
parallel axis theorem
#
Ip = Icm x md^2
parallel axis theorem
For a,v,or x
Used in problem solving for values - look for the missing variable to find the right formula